Question: 4. [25 points] The least squares approximation of a function f (x) on an interval a s x 4. [25 points] The least squares approximation
![4. [25 points] The least squares approximation of a ftnction f (x)](https://s3.amazonaws.com/si.experts.images/answers/2024/06/6663a307a90f6_8316663a307974d9.jpg)



4. [25 points] The least squares approximation of a function f (x) on an interval a s x
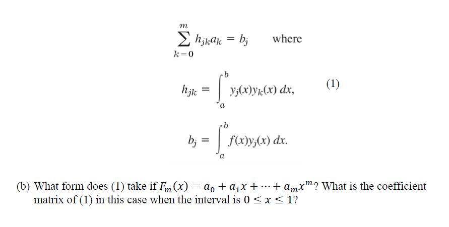
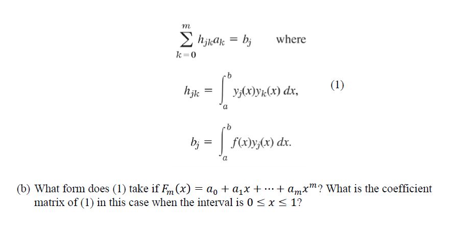
4. [25 points] The least squares approximation of a ftnction f (x) on an interval a x b by a fimction Fm(x) = aoyo(x) + alY1(x) + + amym(x) where yo (x),... (x) are given functions requires the detennination of the coefficients ao, , am such that [f(x) dx becomes minimum. This integral is denoted by Ilf Fm 112, and Ilf Fm II is called the L2 norm off Fm. A necessmy condition for that minimum is given by D Ilf Fm112/Daj = 0, j (a) Show that this leads to m+l nonnal equation (j = 0, , m)
Step by Step Solution
There are 3 Steps involved in it
Get step-by-step solutions from verified subject matter experts
