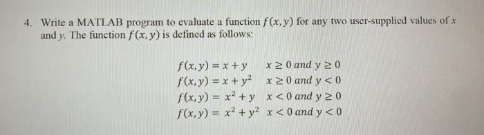
Question: 4. Write a MATLAB program to evaluate a function f(x, y) for any two user-supplied values of x and y. The function f(x, y)
4. Write a MATLAB program to evaluate a function f(x, y) for any two user-supplied values of x and y. The function f(x, y) is defined as follows: f(x, y) = x + y f(x,y) = x + y f(x,y) = x + y f(x,y) = x + y x20 and y 20 x 0 and y < 0 x
Step by Step Solution
There are 3 Steps involved in it
here is a MATLAB program to evaluate a function fxy for any two usersupplied values of x and y The function fxy is defined as follows Code snippet fun... View full answer
Get step-by-step solutions from verified subject matter experts
