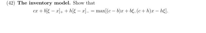
Question: (42) The inventory model. Show that cx + b[8 - x)+ +h[8 - x) - = max[(c - b)x + be, (c+h)x - h]. b=
Step by Step Solution
There are 3 Steps involved in it
1 Expert Approved Answer
Step: 1 Unlock
Question Has Been Solved by an Expert!
Get step-by-step solutions from verified subject matter experts
Step: 2 Unlock
Step: 3 Unlock
