Question: 4-6 please! 4. Evaluate VI+ dar with ordinary u-substitution technique. 5. We will evaluate VI+r dr in the following steps. I (a) Using an appropriate

4-6 please!

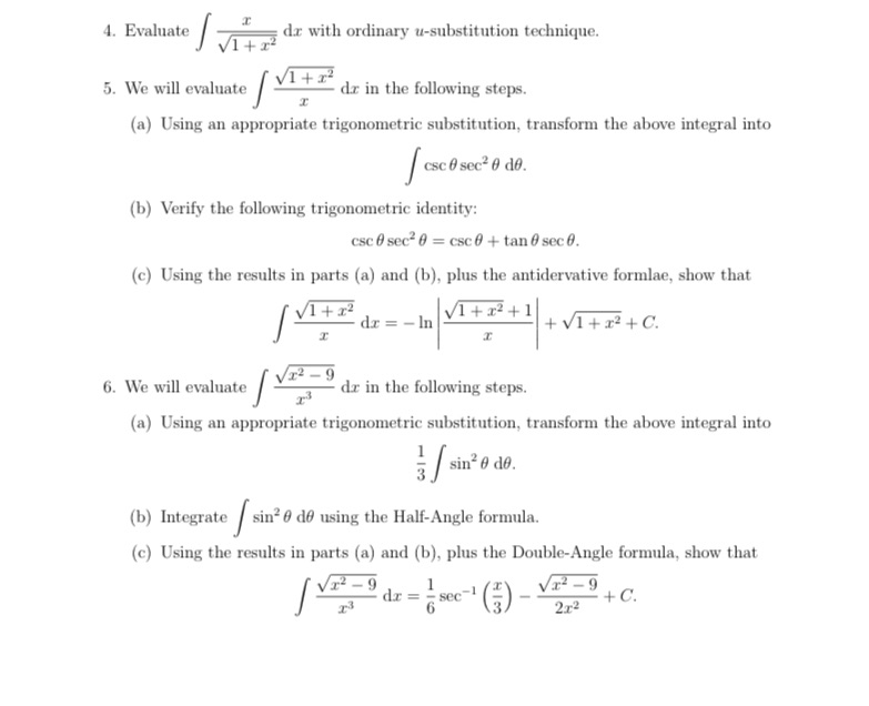
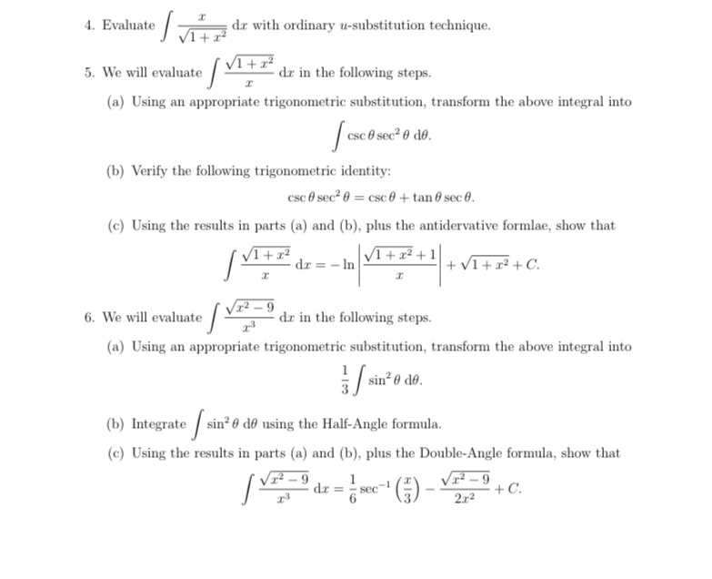
4. Evaluate VI+ dar with ordinary u-substitution technique. 5. We will evaluate VI+r dr in the following steps. I (a) Using an appropriate trigonometric substitution, transform the above integral into csc 0 sec2 0 de. (b) Verify the following trigonometric identity: csc 0 sec2 0 = csco + tan 0 sec 0. (c) Using the results in parts (a) and (b), plus the antidervative formlae, show that VI+x2 - dr = - In Vite+ + 1+ + C. 6. We will evaluate VI - 9 dr in the following steps. (a) Using an appropriate trigonometric substitution, transform the above integral into 3 / sin to do. (b) Integrate / sin?@ do using the Half-Angle formula. (c) Using the results in parts (a) and (b), plus the Double-Angle formula, show that Viz -9 do = = sec-1 Vx2 - 9 212 -+ C
Step by Step Solution
There are 3 Steps involved in it
Get step-by-step solutions from verified subject matter experts
