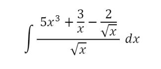
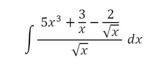
Question: 5 3 + 3 2 5x3 + 2 VX dx VX

5
3
+
3
2

5x3 + 2 VX dx VX
Step by Step Solution
There are 3 Steps involved in it
1 Expert Approved Answer
Step: 1 Unlock
Question Has Been Solved by an Expert!
Get step-by-step solutions from verified subject matter experts
Step: 2 Unlock
Step: 3 Unlock
