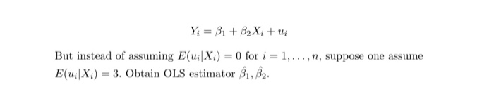
Question: 5. Suppose the intercept of simple linear regression model is known as 5. One can consider the model Y = 5+3X +ui for i =

Step by Step Solution
There are 3 Steps involved in it
1 Expert Approved Answer
Step: 1 Unlock
Question Has Been Solved by an Expert!
Get step-by-step solutions from verified subject matter experts
Step: 2 Unlock
Step: 3 Unlock
