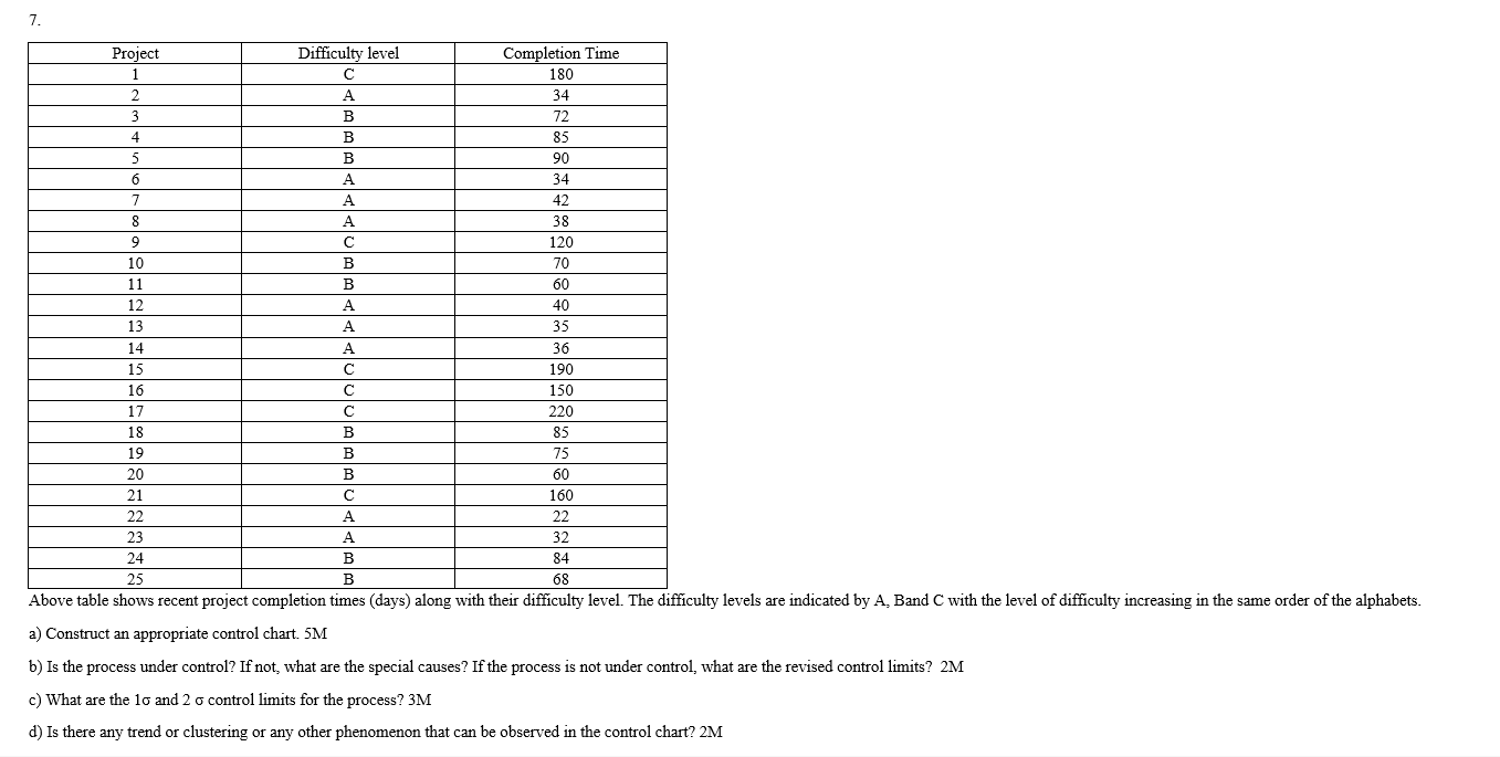
Question: 7 . a ) Construct an appropriate control chart. 5 M b ) Is the process under control? If not, what are the special causes?
a Construct an appropriate control chart. M
b Is the process under control? If not, what are the special causes? If the process is not under control, what are the revised control limits M
c What are the sigma and sigma control limits for the process? M
d Is there any trend or clustering or any other phenomenon that can be observed in the control chart? M
Step by Step Solution
There are 3 Steps involved in it
1 Expert Approved Answer
Step: 1 Unlock
Question Has Been Solved by an Expert!
Get step-by-step solutions from verified subject matter experts
Step: 2 Unlock
Step: 3 Unlock
