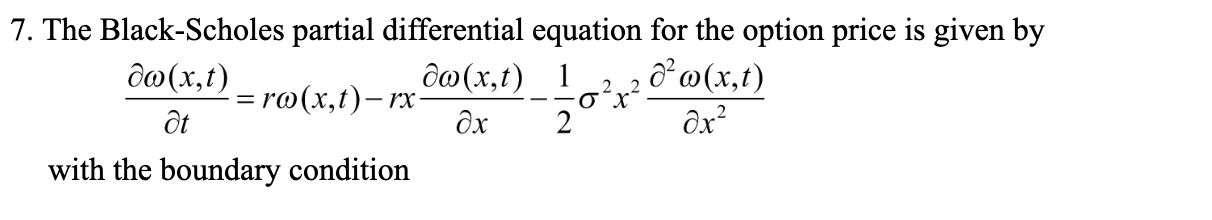
Question: 7. The Black-Scholes partial differential equation for the option price is given by do(x, t) do(x,t) 1 d w(x, t) 0x 2 2 =ro(x,t)-rx- at


7. The Black-Scholes partial differential equation for the option price is given by do(x, t) do(x,t) 1 d w(x, t) 0x 2 2 =ro(x,t)-rx- at x dx with the boundary condition :-c if x C |0 if x
Step by Step Solution
There are 3 Steps involved in it
1 Expert Approved Answer
Step: 1 Unlock
Question Has Been Solved by an Expert!
Get step-by-step solutions from verified subject matter experts
Step: 2 Unlock
Step: 3 Unlock
