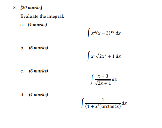
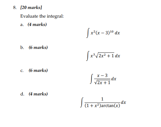
Question: 8. [20 marks] Evaluate the integral: a. (4 marks) x2 (x - 3) 10 dx b. (6 marks) x3V2x2 + 1 dx c. (6 marks)
![8. [20 marks] Evaluate the integral: a. (4 marks) x2 (x](https://s3.amazonaws.com/si.experts.images/answers/2024/06/6660eec70f49e_6146660eec6f2dfa.jpg)

8. [20 marks] Evaluate the integral: a. (4 marks) x2 (x - 3) 10 dx b. (6 marks) x3V2x2 + 1 dx c. (6 marks) x - 3 dx V2x + 1 d. (4 marks) 1 (1 + x2 )arctan(x) dx
Step by Step Solution
There are 3 Steps involved in it
Get step-by-step solutions from verified subject matter experts
