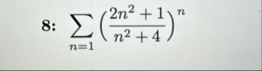
Question: 8 : n = 1 ? ( 2 n 2 1 n 2 4 ) n , use divergence test
: use divergence test
Step by Step Solution
There are 3 Steps involved in it
1 Expert Approved Answer
Step: 1 Unlock
Question Has Been Solved by an Expert!
Get step-by-step solutions from verified subject matter experts
Step: 2 Unlock
Step: 3 Unlock
