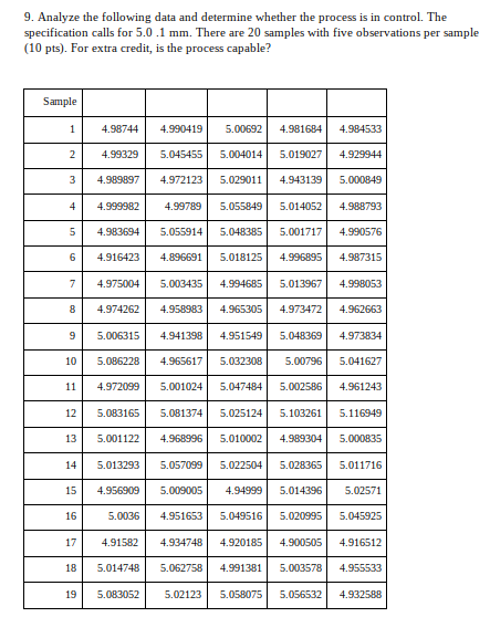
Question: 9. Analyze the following data and determine whether the process is in control. The specification calls for 5.0.1 mm. There are 20 samples with five

Step by Step Solution
There are 3 Steps involved in it
1 Expert Approved Answer
Step: 1 Unlock
Question Has Been Solved by an Expert!
Get step-by-step solutions from verified subject matter experts
Step: 2 Unlock
Step: 3 Unlock
