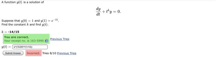
Question: A function y(t) is a solution of dy + thy = 0. dt Suppose that y(0) = 1 and y(1) = e-15. Find the constant


A function y(t) is a solution of dy + thy = 0. dt Suppose that y(0) = 1 and y(1) = e-15. Find the constant & and find y(). k = -14/15 You are correct. Your receipt no. Is 163-5990 () Previous Tries (0) = 18/29(1/15)) Submit Answer Incorrect. Tries 8/10 Previous Tries
Step by Step Solution
There are 3 Steps involved in it
Get step-by-step solutions from verified subject matter experts
