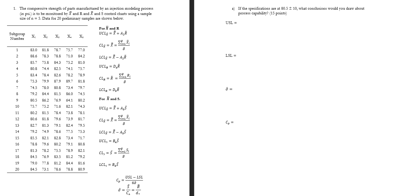
Question: a ) If the specifications are at 8 0 . 5 + - 1 0 , what conclusions would you draw about process capability? (
a If the specifications are at what conclusions would you draw about
process capability? points
USL
hat
Step by Step Solution
There are 3 Steps involved in it
1 Expert Approved Answer
Step: 1 Unlock
Question Has Been Solved by an Expert!
Get step-by-step solutions from verified subject matter experts
Step: 2 Unlock
Step: 3 Unlock
