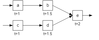
Question: A production process requires 5 different machinesand the current layout with operation times in minutesisgiven. Shrinkage ratiosare 5%, 3%, 6%, 4%, and 1%for machines a,
A production process requires 5 different machinesand the current layout with operation times in minutesisgiven. Shrinkage ratiosare 5%, 3%, 6%, 4%, and 1%for machines a, b, c, d, and e, respectively. The output should be (5*10+100)units. Personal allowance is given 4%. Suppose that 2hours are available for this batch and the process is as efficientas 65% of the time.
a.Calculate the required number of machines. b.Calculate each machines idle time
a b t=1 t=1.5 CD t=2 d t=1 t=1.5
Step by Step Solution
There are 3 Steps involved in it
Get step-by-step solutions from verified subject matter experts
