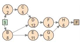
Question: A project for improving a billing process has the following precedence relationships and activity times: Activity Time (weeks) Immediate Predecessor(s) Activity A 2 B 8



Step by Step Solution
There are 3 Steps involved in it
1 Expert Approved Answer
Step: 1 Unlock
Question Has Been Solved by an Expert!
Get step-by-step solutions from verified subject matter experts
Step: 2 Unlock
Step: 3 Unlock
