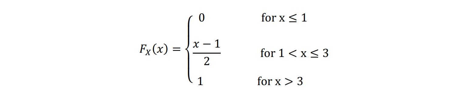
Question: A random variable X is defined based on its cumulative distribution function: O for x 3 2 1 for x 1 for 1 < x
A random variable X is defined based on its cumulative distribution function:

O for x 3
2 1 for x 1 for 1 < x S 3 for x > 3
Step by Step Solution
There are 3 Steps involved in it
Get step-by-step solutions from verified subject matter experts
