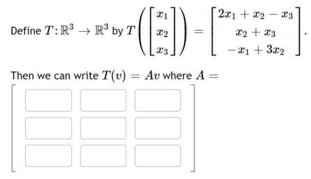
Question: (ED) Then we can write T(v) = Av where A = Define T: R R by T 00 2x1x2x3 x2 + x3 -x1 +
(ED) Then we can write T(v) = Av where A = Define T: R R by T 00 2x1x2x3 x2 + x3 -x1 + 3x
Step by Step Solution
3.46 Rating (156 Votes )
There are 3 Steps involved in it
Get step-by-step solutions from verified subject matter experts
