Question: An assembly process is depicted below: Sub-process A takes 6 minutes, sub-process B takes 7 minutes, and the sub-process C, which assembles the inputs from
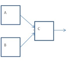
An assembly process is depicted below:

Sub-process A takes 6 minutes, sub-process B takes 7 minutes, and the sub-process C, which assembles the inputs from A and B, takes 3 minutes.
What is the possible daily output of this assembly process, assuming an eight hour work day?
(Provide one decimal place)
A BStep by Step Solution
There are 3 Steps involved in it
Get step-by-step solutions from verified subject matter experts
