Question: An important factor in solid missile fuel is the particle size distribution. Significant problems occur if the particle sizes are too large. From production data
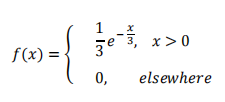
An important factor in solid missile fuel is the particle size distribution. Significant problems occur if the particle sizes are too large. From production data in the past, it has been determined that the particle size (in micrometers) distribution is characterized by:
a) Verify whether this is a valid density function or not.
b) Evaluate F(x).
c) Use F(x) to find the probability that a random particle forms the manufactured fuel falls between 4 and 8 micrometers?

W|H f(x) 9 WIP elsewhere
Step by Step Solution
There are 3 Steps involved in it
Get step-by-step solutions from verified subject matter experts
