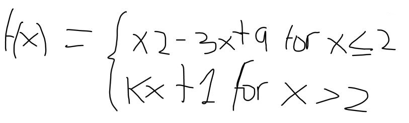
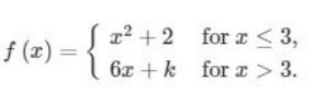
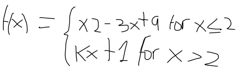
Question: Answer: 1. fx2+ 2 for I

 Answer: 1. \fx2+ 2 for Iimage text in transcribed

Answer:

1.

image text in transcribedimage text in transcribed

\fx2+ 2 for I

Step by Step Solution

There are 3 Steps involved in it

1 Expert Approved Answer
Step: 1 Unlock blur-text-image
Question Has Been Solved by an Expert!

Get step-by-step solutions from verified subject matter experts

Step: 2 Unlock
Step: 3 Unlock

Students Have Also Explored These Related Mathematics Questions!