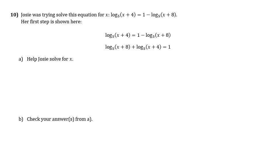
Question: answer 10) Josie was trying solve this equation for x: logs(x + 4) = 1 logs(x + 8). Her first step is shown here: logs(x
answer

Step by Step Solution
There are 3 Steps involved in it
1 Expert Approved Answer
Step: 1 Unlock
Question Has Been Solved by an Expert!
Get step-by-step solutions from verified subject matter experts
Step: 2 Unlock
Step: 3 Unlock
