Question: ANSWER PART D - USE MATLAB EQUATIONS OF MOTION BELOW FOR REFERENCE Problem 1 (you may use matlab for numerical calculations: 50 points: Consider only
ANSWER PART D - USE MATLAB

EQUATIONS OF MOTION BELOW FOR REFERENCE




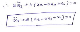
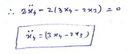
Problem 1 (you may use matlab for numerical calculations: 50 points: Consider only the horizontal motion of the 4-mass system given below. Let m 2 kg and k =2 a. b. c. Develop its equations of motion using Lagrangean method. Determine the modal vectors. Transform the equations to modal (principal) coordinates and write the resulting four decoupled equations of motion Using matlab, plot the velocity response of the right-most mass d. In
Step by Step Solution
There are 3 Steps involved in it
Get step-by-step solutions from verified subject matter experts
