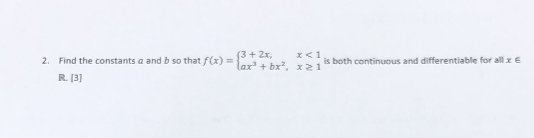
Question: answer with explanation provided (3 + 2x, 2. Find the constants a and b so that f (x) = 3 4 by2 is both continuous
answer with explanation provided

(3 + 2x, 2. Find the constants a and b so that f (x) = 3 4 by2 is both continuous and differentiable for all x E x
Step by Step Solution
There are 3 Steps involved in it
Get step-by-step solutions from verified subject matter experts
