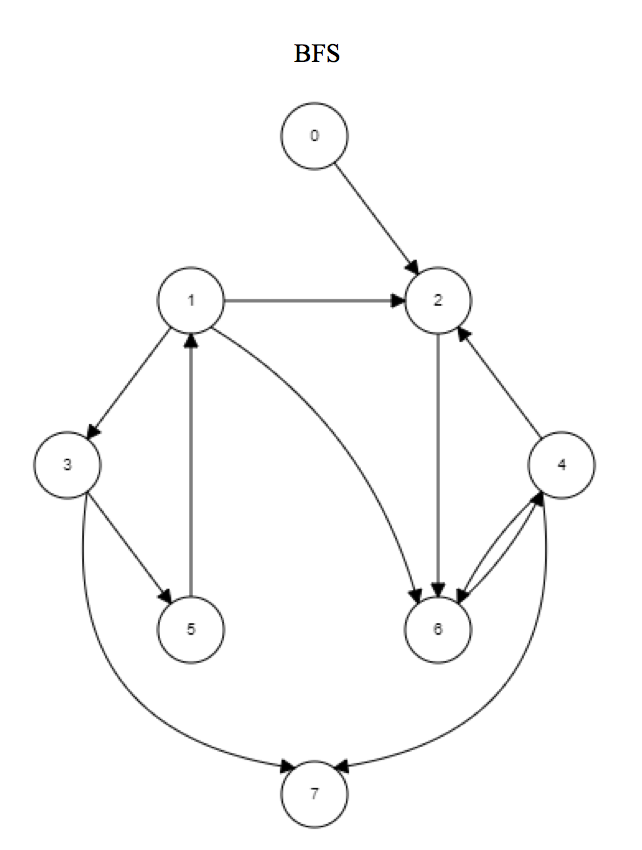
Question: Apply DFS and BFS on the below directed graph. For DFS show the discovery time, finishing time and the predecessor node. For BFS show the
Apply DFS and BFS on the below directed graph. For DFS show the discovery time, finishing time and the predecessor node. For BFS show the discover time and the predecessor node. Start in both at node 0.


DFS 2 4 7
Step by Step Solution
There are 3 Steps involved in it
Get step-by-step solutions from verified subject matter experts
