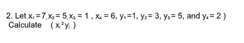
Question: basic math mmw solve with explenation ^_^ f2. Let x, =7,X, = 5,X, = 1 , X = 6, y, =1, y>= 3, y,= 5,





basic math mmw
solve with explenation ^_^





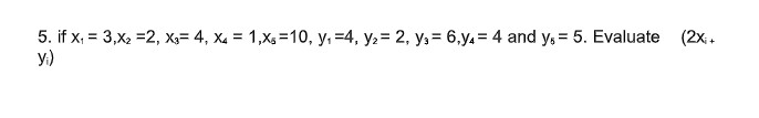
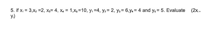
\f2. Let x, =7,X, = 5,X, = 1 , X = 6, y, =1, y>= 3, y,= 5, and y. = 2 ) Calculate (xzy; )5. if X, = 3,X2 =2, X,= 4, X4 = 1,Xs =10, y, =4, yz= 2, y,= 6,y4 = 4 and y, = 5. Evaluate (2xi+ yi)
Step by Step Solution
There are 3 Steps involved in it
Get step-by-step solutions from verified subject matter experts
