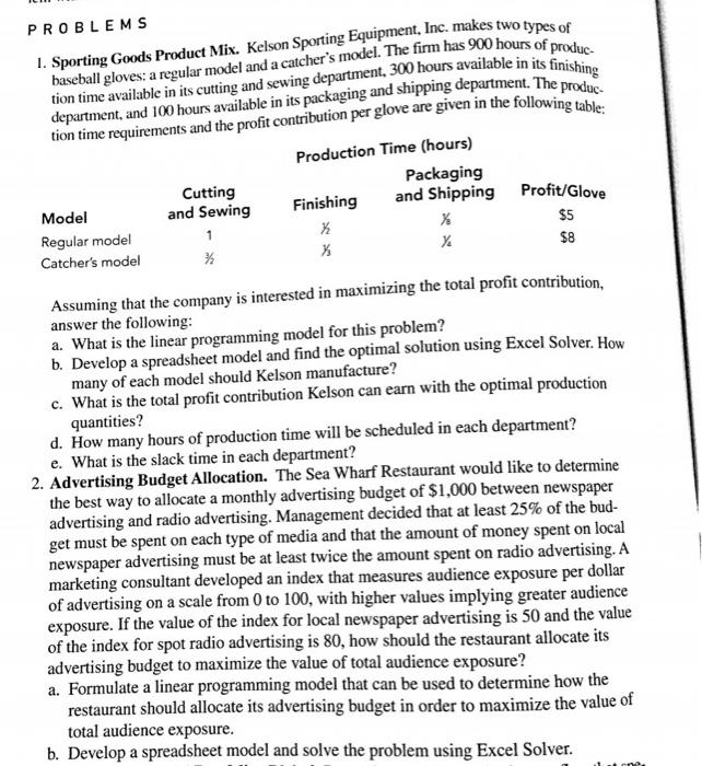
General Management Questions and Answers December 13, 2011

Expert-verified solutions to help you succeed

Showing 600 - 700 of 1506
  • 7 / 16