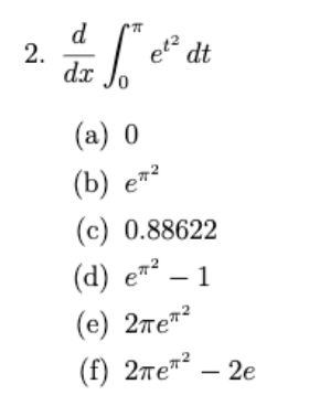
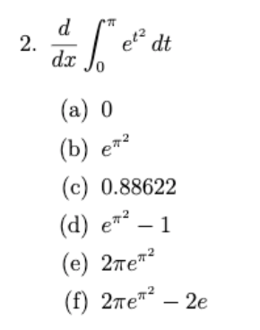
Question: CALC QUESTION From the options, pick the equivalent expression to the one given in 2. d 2. dt dx (a) 0 (b) e#2 (c) 0.88622

CALC QUESTION
From the options, pick the equivalent expression to the one given in 2.

d 2. dt dx (a) 0 (b) e#2 (c) 0.88622 (d) en2 - 1 (e) 2reT2 (f) 2res - 2e
Step by Step Solution
There are 3 Steps involved in it
Get step-by-step solutions from verified subject matter experts
