Question: Calculas 3(Answer for 1st question is given. Do in the similar way for question no.9 given below) Let D be an ellipse rotated counterclockwise by
Calculas 3(Answer for 1st question is given. Do in the similar way for question no.9 given below)





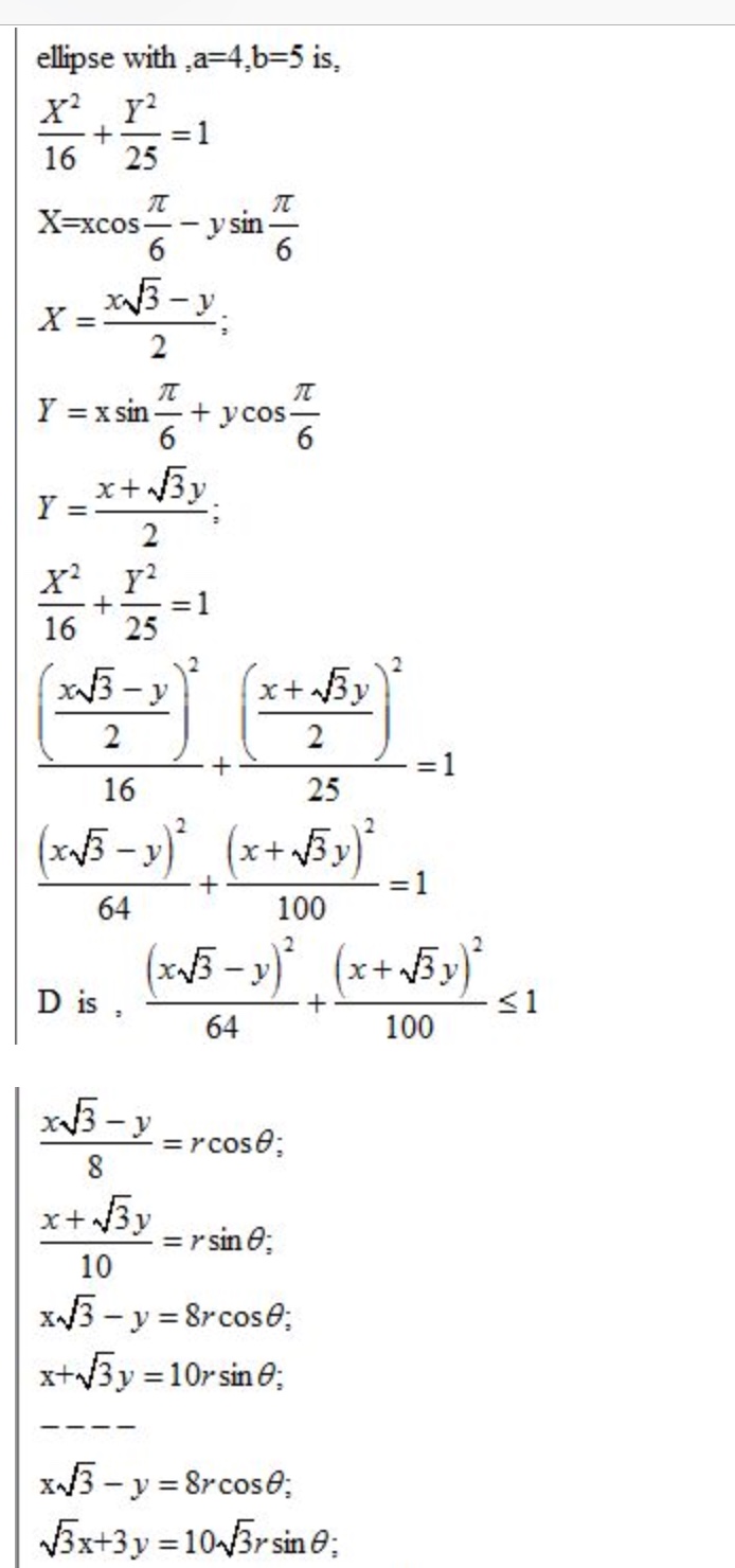
Let D be an ellipse rotated counterclockwise by 6 radians, as pictured below. Before rotation, the horizontal radius was 4 and vertical radius was 5. 6- wy " N -6 -3 -2 2 3 41 5 6 -6- Q Convert ( - 42 - 6y) d.A into an integral over a polar integral over a unit circle. (type theta for $) dr de\f0 Question 9 v
Step by Step Solution
There are 3 Steps involved in it
Get step-by-step solutions from verified subject matter experts
