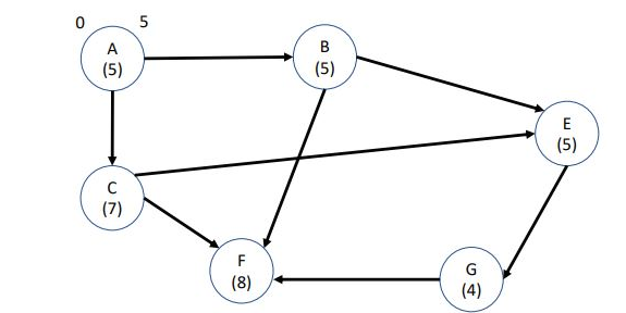
Question: Calculate the critical path. What is the minimum project duration? What is the slack time for node B? What is the slack time for node
Calculate the critical path. What is the minimum project duration?
What is the slack time for node B?
What is the slack time for node C?
0 5 (5) B (5) E (5) (7) (8) G (4)Step by Step Solution
There are 3 Steps involved in it
Get step-by-step solutions from verified subject matter experts
