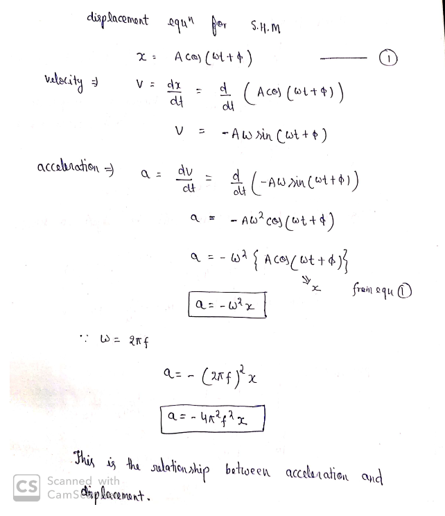
Question: Can somebody specifically explain what is going on in this picture? Because I am very confused. displacement equ fer S. H. M X : Aco;
Can somebody specifically explain what is going on in this picture? Because I am very confused.

displacement equ" fer S. H. M X : Aco; (61+4 ) velocity =) V = dx - d ( Ace) ( we + $ ) ) dt V = - Awsin ( wt+ + ) acceleration ) a = du ( - Aw sin ( wt + $) ) a = - Aw cas ( wt+ + ) a = - W . [ Aces ( wt + $ 19 from equ (1) a = - wax .: W= anf a = - ( 2xf ) x x a = - 412ex This is the sulationship between acceleration and CS Scanned with Camsdaplacement
Step by Step Solution
There are 3 Steps involved in it
1 Expert Approved Answer
Step: 1 Unlock
Question Has Been Solved by an Expert!
Get step-by-step solutions from verified subject matter experts
Step: 2 Unlock
Step: 3 Unlock
