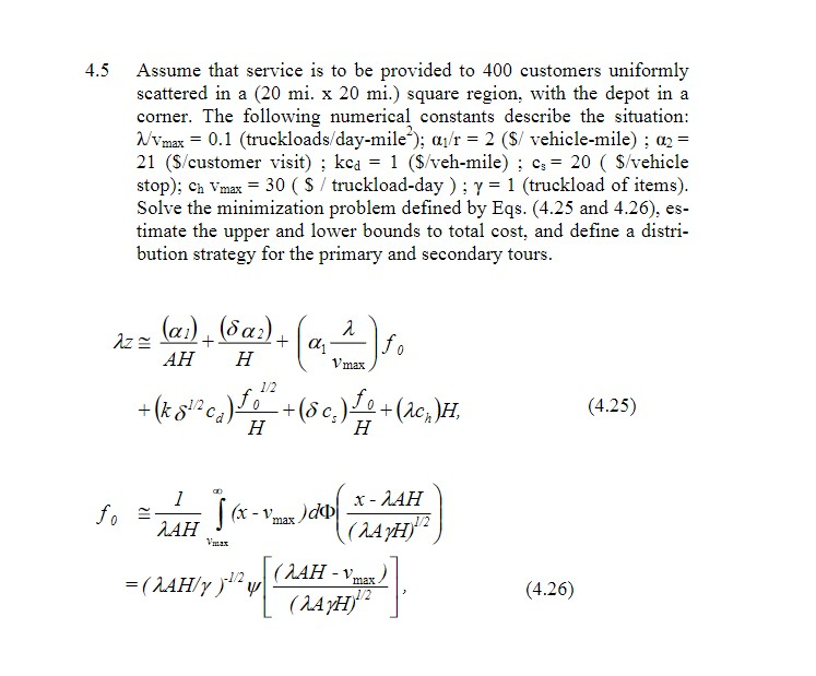
Question: ( Carlos F . Daganzo: Logistics Systems Analysis, 4 th Ed . Springer, 2 0 0 4 ) 4 . 5 Assume that service is
Carlos F Daganzo: Logistics Systems Analysis, th Ed Springer, Assume that service is to be provided to customers uniformly
scattered in a square region, with the depot in a
corner. The following numerical constants describe the situation:
truckloadsdaymile
Step by Step Solution
There are 3 Steps involved in it
1 Expert Approved Answer
Step: 1 Unlock
Question Has Been Solved by an Expert!
Get step-by-step solutions from verified subject matter experts
Step: 2 Unlock
Step: 3 Unlock
