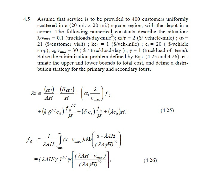
Question: ( Carlos F . Daganzo: Logistics Systems Analysis, 4 th Ed . Springer, 2 0 0 4 ) 4 . 5 Assume that service is

(Carlos F. Daganzo: Logistics Systems Analysis, 4th Ed. Springer, 2004)4.5 Assume that service is to be provided to 400 customers uniformly
scattered in a .x20mi.) square region, with the depot in a
corner. The following numerical constants describe the situation:
vmax=0.1(truckloads/day-mile
 (Carlos F. Daganzo: Logistics Systems Analysis, 4th Ed. Springer, 2004)4.5 Assume

Step by Step Solution

There are 3 Steps involved in it

1 Expert Approved Answer
Step: 1 Unlock blur-text-image
Question Has Been Solved by an Expert!

Get step-by-step solutions from verified subject matter experts

Step: 2 Unlock
Step: 3 Unlock

Students Have Also Explored These Related General Management Questions!