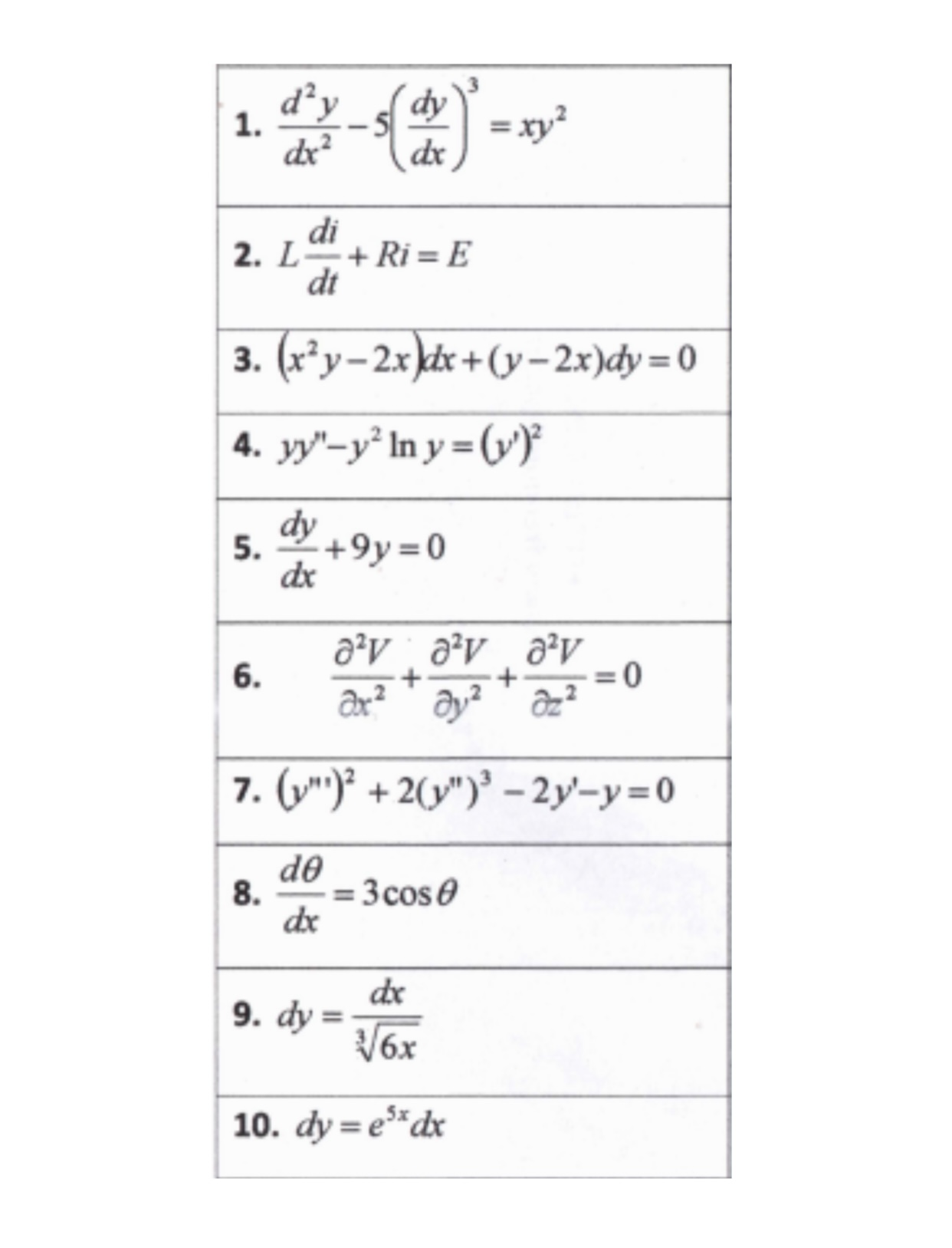
Question: CLASSIFY THE GIVEN DE ON THE SECOND PHOTO 1. d'y = xyl dx2 dx 2. L-+ Ri = E dt 3. (xly-2x )dx + (y-2x)dy
CLASSIFY THE GIVEN DE ON THE SECOND PHOTO


1. d'y = xyl dx2 dx 2. L-+ Ri = E dt 3. (xly-2x )dx + (y-2x)dy = 0 4. yy"-y' In y = (v) 5. dy +9y =0 dx av av av 6. 2 2 2 =0 7. (y")2 +2(y")3 - 2y'-y=0 do 8. -= 3cos 0 dx 9. dy = 16x 10. dy = esx dxGiven DE Depend Independ Type: Linear / Order Degre ent ent Non - Ordinary/ Linear Partial 1 2 3 4 5 6 8 9 10 Activity No. 1: State whether the given Differential Equations is ODE or PDE and Linear or Non -Linear DE. State also the order, degree, dependent and independent variables. Note: Include in the last column the name of the DE. Use the given below
Step by Step Solution
There are 3 Steps involved in it
Get step-by-step solutions from verified subject matter experts
