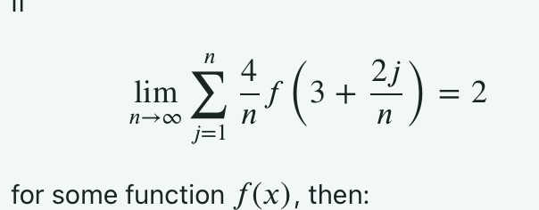
Question: code class = asciimath > lim _ ( n - > infty ) sum _ ( j = 1 ) ^ n
code class"asciimath"limninfty sumjn nfjn for some function fx then:
Step by Step Solution
There are 3 Steps involved in it
1 Expert Approved Answer
Step: 1 Unlock
Question Has Been Solved by an Expert!
Get step-by-step solutions from verified subject matter experts
Step: 2 Unlock
Step: 3 Unlock
