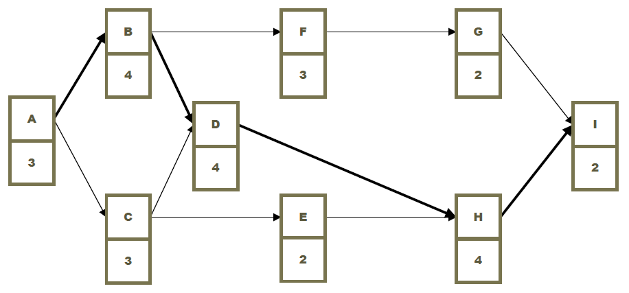
Question: compress the project timelines in this problem using the least cost method one unit at a time. Reduce the schedule until you reach the crash
compress the project timelines in this problem using the least cost method one unit at a time. Reduce the schedule until you reach the crash point (shortest duration possible) of the network. For each duration reduction, identify what activity(s) was crashed and the new adjusted total cost.
If the indirect cost for each duration are $1,500 for 17 weeks, $1,450 for 16 weeks, $1,400 for 15 weeks,$1,350 for 14 weeks, $1,300 for 13 weeks, $1,250 for 12 weeks, $1,200 for 11 weeks, and $1,150 for 10 weeks, what is the optimum cost-time schedule for the project? What is the cost?
| Activity Crash | Cost (slope) | Maximum Crash Time | Normal Time | Normal Cost |
| A | 0 | 0 | 3 | 150 |
| B | 100 | 2 | 4 | 200 |
| C | 60 | 1 | 3 | 250 |
| D | 40 | 1 | 4 | 200 |
| E | 0 | 0 | 2 | 250 |
| F | 30 | 2 | 3 | 200 |
| G | 20 | 1 | 2 | 250 |
| H | 60 | 2 | 4 | 300 |
| I | 200 | 1 | 2 | 200 |

Step by Step Solution
There are 3 Steps involved in it
Get step-by-step solutions from verified subject matter experts
