Databases Questions and Answers January 01, 2021

Expert-verified solutions to help you succeed

Showing 1300 - 1400 of 1500
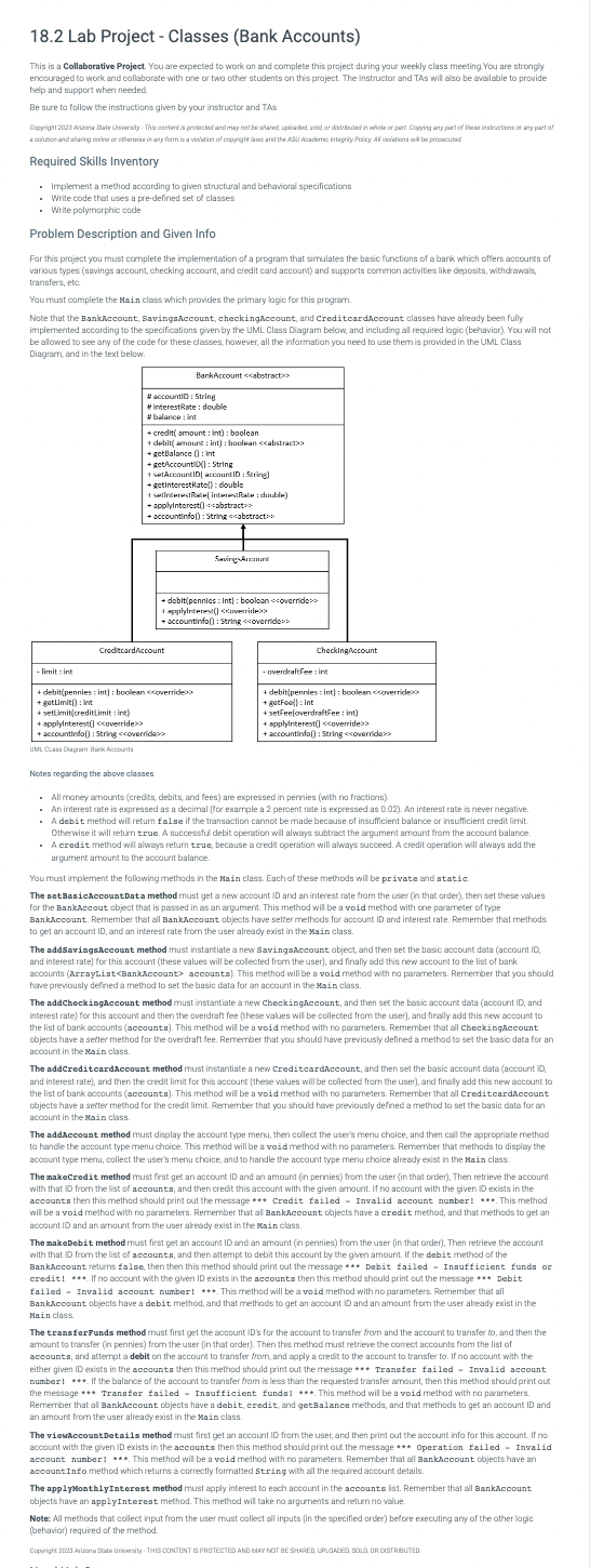
  • 14 / 15