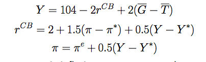
Question: Consider the following 3-equation model: Y 104 - + - T) 2+1.56 - +0.5(Y - +0.5(Y -
Consider the following 3-equation model:

Y 104 - + - T) 2+1.56 - +0.5(Y - +0.5(Y -
Step by Step Solution
There are 3 Steps involved in it
Get step-by-step solutions from verified subject matter experts
