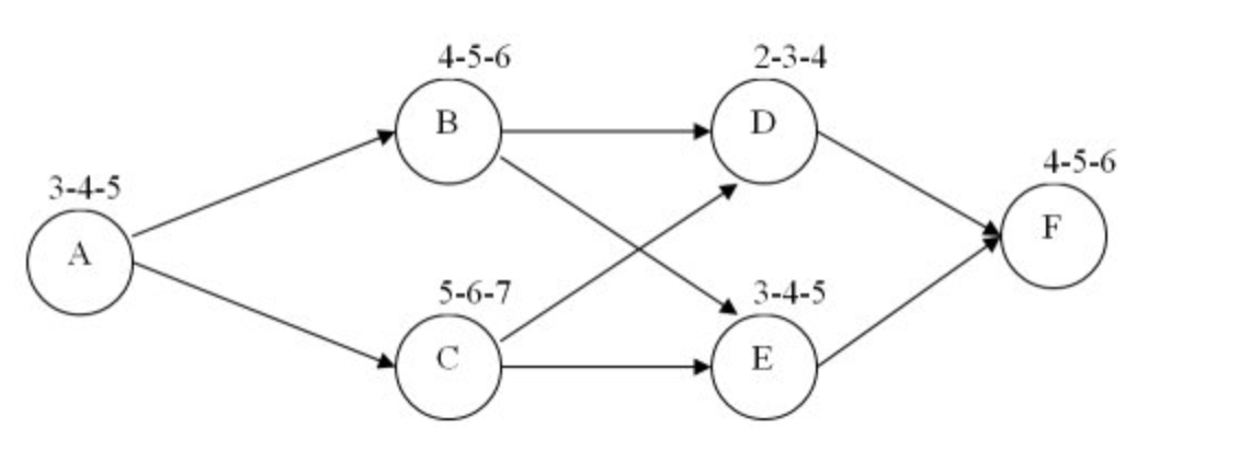
Question: Consider the following Activity-On-Node (AON) PERT project. The three values that represent each activity's completion time (in days) correspond to an optimistic time, most likely
Consider the following Activity-On-Node (AON) PERT project. The three values that represent each activity's completion time (in days) correspond to an optimistic time, most likely time, and pessimistic time, respectively. Refer to the figure. What deadline should be set to ensure a 99% probability that the project will be completed within the deadline date?

A) 19.45 days
B) 19 days
C) 18 days
D) 20.56 days
E) 18.54 days
3-4-5 4-5-6 B 5-6-7 2-3-4 D 3-4-5 E 4-5-6 FStep by Step Solution
There are 3 Steps involved in it
Get step-by-step solutions from verified subject matter experts
