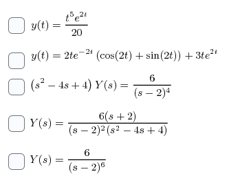
Question: Consider the following Initial Value Problem (IVP) y - 4y' + 4y = t'er with y(0) = 0 and y'(0) = 0 where y is


Step by Step Solution
There are 3 Steps involved in it
1 Expert Approved Answer
Step: 1 Unlock
Question Has Been Solved by an Expert!
Get step-by-step solutions from verified subject matter experts
Step: 2 Unlock
Step: 3 Unlock
