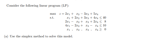
Question: Consider the following linear program (LP): max 2 = 211 + 12 3.03 +504 s.t. 11 +212 +373 + 4.14

Step by Step Solution
There are 3 Steps involved in it
1 Expert Approved Answer
Step: 1 Unlock
Question Has Been Solved by an Expert!
Get step-by-step solutions from verified subject matter experts
Step: 2 Unlock
Step: 3 Unlock
