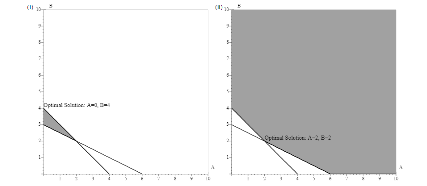
Question: Consider the following linear program: Min 3A + 5B s. t. A + 2B 26 A + B 24 A, B 20 a. Select the



Step by Step Solution
There are 3 Steps involved in it
1 Expert Approved Answer
Step: 1 Unlock
Question Has Been Solved by an Expert!
Get step-by-step solutions from verified subject matter experts
Step: 2 Unlock
Step: 3 Unlock
