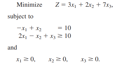
Question: Consider the following problem using the 2-phase simplex method Minimize Z = 3x1 + 2x2 + 7x3, - subject to -- X1 + x2 =
Consider the following problem using the 2-phase simplex method
Step by Step Solution
There are 3 Steps involved in it
1 Expert Approved Answer
Step: 1 Unlock
Question Has Been Solved by an Expert!
Get step-by-step solutions from verified subject matter experts
Step: 2 Unlock
Step: 3 Unlock
