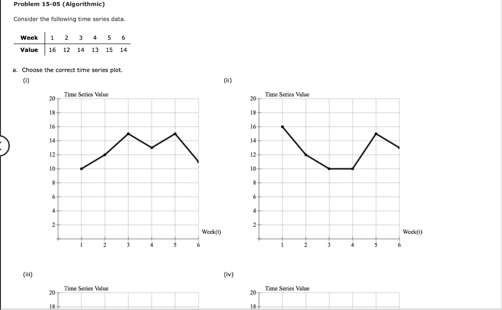
Question: Consider the following time series data. Week 1 2 3 4 5 6 Value 16 12 14 13 15 14 Thank you! Problem 15-05 (Algorithmic)
Consider the following time series data.
| Week | 1 | 2 | 3 | 4 | 5 | 6 |
| Value | 16 | 12 | 14 | 13 | 15 | 14 |






Thank you!
Problem 15-05 (Algorithmic) Consider the following time series data. Week 1 2 3 4 5 6 Value 16 12 14 13 15 14 a. Choose the correct time series plot. (0) (ii) Time Series Value Time Series Value 20 20 18 18 16 16 14 14 12 12 10 10 8 8 6 6 4 4 2 2 Week (1) Week(t) 2 3 4 5 6 2 3 4 5 6 (iii) (iv) Time Series Value Time Series Value 20 20 18 18 Week(t) Week(t) 2 3 4 5 6 2 4 5 6 (iv) Time Series Value Time Series Value 20 20 18 18 16 16 14 14 12 12 ) 10 10 8 6- 6 4 4 2 2 Weck(t) Week(t) 6 6 What type of pattern exists in the data? What type of pattern exists in the data? b. Horizontal Pattern k moving average for this time series. Compute MSE and a forecast for week 7. Round your answers to two decimal places. Trend Pattern Forecast 1 16 2 12 3 14 4 13 5 15 6 14 MSE: The forecast for week 7: c. Use a = 0.2 to compute the exponential smoothing values for the time series. Compute MSE and a forecast for week 7. Round your answers to two decimal places. Time Series Week Forecast Value 1 16 2 12 3 14 4 13 5 15 b. Develop a three-week moving average for this time series. Compute MSE and a forecast for week 7. Round your answers to two decimal places. Time Series Week Forecast Value 1 16 2 12 3 14 4 13 5 15 6 14 MSE: The forecast for week 7: c. Use Q = 0.2 to compute the exponential smoothing values for the time series. Compute MSE and a forecast for week 7. Round your answers to two decimal places. Time Series Week Forecast Value 1 16 2 12 3 14 4 13 5 15 6 14 MSE: C. Use a = 0.2 to compute the exponential smoothing values for the time series. Compute MSE and a forecast for week 7. Round your answers to two decimal places. Time Series Week Forecast Value 1 16 I. 2 12 3 14 4 13 5 15 | 6 14 MSE: The forecast for week 7: d. Compare the three-week moving average forecast with the exponential smoothing forecast using a = 0.2. Which appears to provide the better forecast based on MSE? Three-week moving average Exponential smoothing will not be graded, but may be reviewed and considered by your instructor. e Use trial and error to find a value of the exponential smoothina coefficient that results in a smaller MSE than what you calculated for a = 0.2. Find a value of a for 2 12 3 14 4 13 5 15 6 14 MSE: The forecast for week 7: d. Compare the three-week moving average forecast with the exponential smoothing forecast using a = 0.2. Which appears to provide the better forecast based on MSE? Explain. The input in the box below will not be graded, but may be reviewed and considered by your instructor. e. Use trial and error to find a value of the exponential smoothing coefficient a that results in a smaller MSE than what you calculated for a = 0.2. Find a value of a for the smallest MSE. Round your answer to three decimal placesStep by Step Solution
There are 3 Steps involved in it
1 Expert Approved Answer
Step: 1 Unlock
Question Has Been Solved by an Expert!
Get step-by-step solutions from verified subject matter experts
Step: 2 Unlock
Step: 3 Unlock
