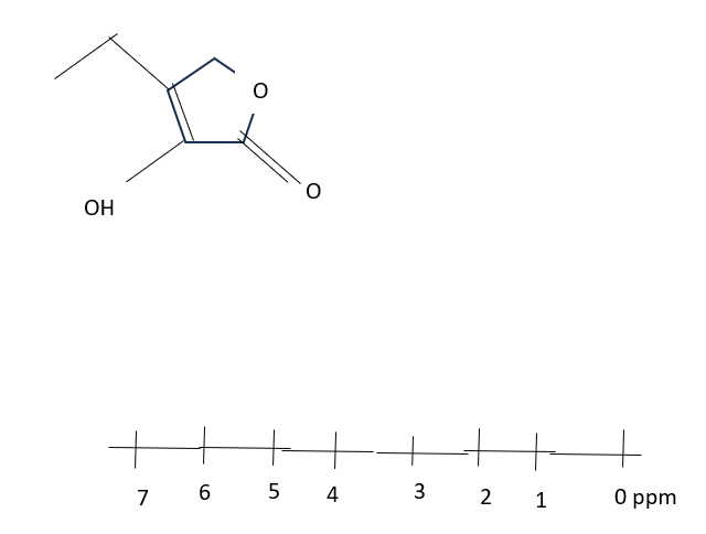
Question: Construct a H NMR Spectrum for the given structural formula. Show the approrpiate splitting patterns along with their integration values ( no . of Hs
Construct a H NMR Spectrum for the given structural formula. Show the approrpiate splitting patterns along with their integration values no of Hs at the approximate chemical shift position. Ignore any above ppm
Step by Step Solution
There are 3 Steps involved in it
1 Expert Approved Answer
Step: 1 Unlock
Question Has Been Solved by an Expert!
Get step-by-step solutions from verified subject matter experts
Step: 2 Unlock
Step: 3 Unlock
