Question: Create a Matlab Code that applies the following. When somone uses the program they should have the option of changing the masses of the crates.
Create a Matlab Code that applies the following. When somone uses the program they should have the option of changing the masses of the crates.
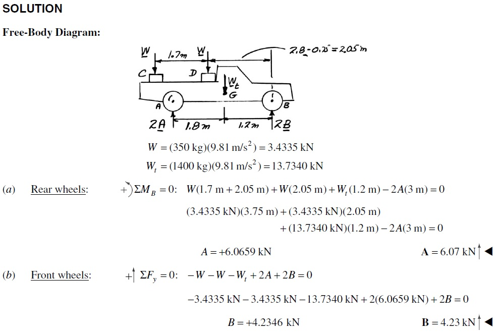
Given:
Two crates, each of mass 350 kg, are placed as shown in the bed of a 1400-kg pickup truck. Determine the reactions at each of the two
(a) rear wheels A,
(b) front wheels B.
Create Matlab Code that empliments the following soluation. When somone uses the program they should have the option of changing the masses of the crates.

SOLUTION Free-Body Diagram: 8 W = (350 kg)(9.81 m/s2) = 3.4335 kN W. = (1400 kg)(9.81 m/s2-13.7340 kN Rear wheels: +)EMB =0: W( 1 .7 m + 2.05 m)+W( 2.05 m)+W(1.2m)-2A( 3 m)=0 (a) (3.4335 kN)(3.75 m) + (3.4335 kN)(2.05 m) + (13.7340 kN)(1.2 m)-2A(3 m) = 0 A +6.0659 kN A = 6.07 kN- (b) Front wheels: 0: -w-w-w,+2A + 2B = 0 3.4335 kN-3.4335 kN-1 3.7340 kN + 2( 6.0659 kN) + 2B = 0 B= +4.2346 kN B = 4.23 kN t
Step by Step Solution
There are 3 Steps involved in it
Get step-by-step solutions from verified subject matter experts
