Question: . Create mathlab code/script to solve problem 6.6 To write MATLAB codes for the following problems, we can refer to Algorithms 5.1 and 5.2 in



. Create mathlab code/script to solve problem 6.6
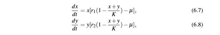
To write MATLAB codes for the following problems, we can refer to Algorithms 5.1 and 5.2 in Chapter 5. Problem 6.6. Consider the dynamical system (6.7)(6.8) with u = 1, n = 1,2, r2 = 1,4, K = 3, and x(0) = 2, y(0) = 1, so that x(t) > y(t) fort small. Simulate the system for t > 0 until you arrive at time T such that y(T) = x(T). (6.7) = f(1 ) , = ye(1-)-4, (6.8)
Step by Step Solution
There are 3 Steps involved in it
Get step-by-step solutions from verified subject matter experts
