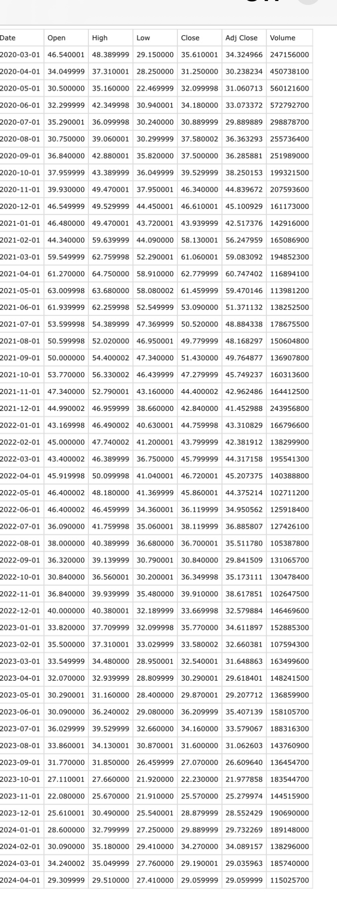
Question: Date Open High Low Close Adj Close Volume 2020-03-01 46.540001 48.389999 29.150000 35.610001 34.324966 247156000 2020-04-01 34.049999 37.310001 28.250000 31.250000 30.238234 450738100 2020-05-01 30.500000
Date Open High Low Close Adj Close Volume 2020-03-01 46.540001 48.389999 29.150000 35.610001 34.324966 247156000 2020-04-01 34.049999 37.310001 28.250000 31.250000 30.238234 450738100 2020-05-01 30.500000 35.160000 22.469999 32.099998 31.060713 560121600 2020-06-01 32.299999 42.349998 30.940001 34.180000 33.073372 572792700 2020-07-01 35.290001 36.099998 30.240000 30.889999 29.889889 298878700 2020-08-01 30.750000 39.060001 30.299999 37.580002 36.363293 255736400 2020-09-01 36.840000 42.880001 35.820000 37.500000 36.285881 251989000 2020-10-01 37.959999 43.389999 36.049999 39.529999 38.250153 199321500 2020-11-01 39.930000 49.470001 37.950001 46.340000 44.839672 207593600 2020-12-01 46.549999 49.529999 44.450001 46.610001 45.100929 161173000 2021-01-01 46.480000 49.470001 43.720001 43.939999 42.517376 142916000 2021-02-01 44.340000 59.639999 44.090000 58.130001 56.247959 165086900 2021-03-01 59.549999 62.759998 52.290001 61.060001 59.083092 194852300 2021-04-01 61.270000 64.750000 58.910000 62.779999 60.747402 116894100 2021-05-01 63.009998 63.680000 58.080002 61.459999 59.470146 113981200 2021-06-01 61.939999 62.259998 52.549999 53.090000 51.371132 138252500 2021-07-01 53.599998 54.389999 47.369999 50.520000 48.884338 178675500 2021-08-01 50.599998 52.020000 46.950001 49.779999 48.168297 150604800 2021-09-01 50.000000 54.400002 47.340000 51.430000 49.764877 136907800 2021-10-01 53.770000 56.330002 46.439999 47.279999 45.749237 160313600 2021-11-01 47.340000 52.790001 43.160000 44.400002 42.962486 164412500 2021-12-01 44.990002 46.959999 38.660000 42.840000 41.452988 243956800 2022-01-01 43.169998 46.490002 40.630001 44.759998 43.310829 166796600 2022-02-01 45.000000 47.740002 41.200001 43.799999 42.381912 138299900 2022-03-01 43.400002 46.389999 36.750000 45.799999 44.317158 195541300 2022-04-01 45.919998 50.099998 41.040001 46.720001 45.207375 140388800 2022-05-01 46.400002 48.180000 41.369999 45.860001 44.375214 102711200 2022-06-01 46.400002 46.459999 34.360001 36.119999 34.950562 125918400 2022-07-01 36.090000 41.759998 35.060001 38.119999 36.885807 127426100 2022-08-01 38.000000 40.389999 36.680000 36.700001 35.511780 105387800 2022-09-01 36.320000 39.139999 30.790001 30.840000 29.841509 131065700 2022-10-01 30.840000 36.560001 30.200001 36.349998 35.173111 130478400 2022-11-01 36.840000 39.939999 35.480000 39.910000 38.617851 102647500 2022-12-01 40.000000 40.380001 32.189999 33.669998 32.579884 146469600 2023-01-01 33.820000 37.709999 32.099998 35.770000 34.611897 152885300 2023-02-01 35.500000 37.310001 33.029999 33.580002 32.660381 107594300 2023-03-01 33.549999 34.480000 28.950001 32.540001 31.648863 163499600 2023-04-01 32.070000 32.939999 28.809999 30.290001 29.618401 148241500 2023-05-01 30.290001 31.160000 28.400000 29.870001 29.207712 136859900 2023-06-01 30.090000 36.240002 29.080000 36.209999 35.407139 158105700 2023-07-01 36.029999 39.529999 32.660000 34.160000 33.579067 188316300 2023-08-01 33.860001 34.130001 30.870001 31.600000 31.062603 143760900 2023-09-01 31.770000 31.850000 26.459999 27.070000 26.609640 136454700 2023-10-01 27.110001 27.660000 21.920000 22.230000 21.977858 183544700 2023-11-01 22.080000 25.670000 21.910000 25.570000 25.279974 144515900 2023-12-01 25.610001 30.490000 25.540001 28.879999 28.552429 190690000 2024-01-01 28.600000 32.799999 27.250000 29.889999 29.732269 189148000 2024-02-01 30.090000 35.180000 29.410000 34.270000 34.089157 138296000 2024-03-01 34.240002 35.049999 27.760000 29.190001 29.035963 185740000 2024-04-01 29.309999 29.510000 27.410000 29.059999 29.059999 115025700
Step by Step Solution
There are 3 Steps involved in it
Get step-by-step solutions from verified subject matter experts
