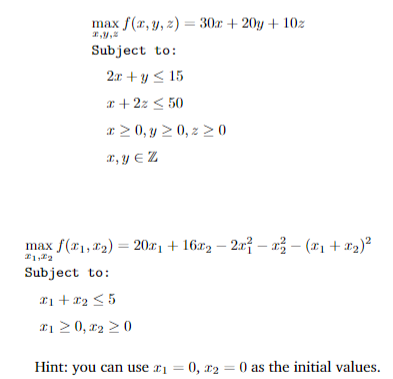
Question: Define and solve the following optimization problems in MATLAB. Please answer in a form of MATLAB script. max /(x,y,%) = 30x + 20y + 102
Define and solve the following optimization problems in MATLAB. Please answer in a form of MATLAB script.


max /(x,y,%) = 30x + 20y + 102 Subject to: 2x + y 0, 0,20 *, Y EZ 21,22 max |(2,0) = 20c + 1622 - 22 - 23 - (4 + 2)2 Subject to: +225 > 0,22 > 0 Hint: you can use x = 0,22 = 0 as the initial values. min | (* 1,6-2) = 10x1 3022 Subject to: 21 +22 0,22 > 0 max (2,y) = 2x + 5y Subject to: 2 + 4y 0, 0,20 *, Y EZ 21,22 max |(2,0) = 20c + 1622 - 22 - 23 - (4 + 2)2 Subject to: +225 > 0,22 > 0 Hint: you can use x = 0,22 = 0 as the initial values. min | (* 1,6-2) = 10x1 3022 Subject to: 21 +22 0,22 > 0 max (2,y) = 2x + 5y Subject to: 2 + 4y
Step by Step Solution
There are 3 Steps involved in it
Get step-by-step solutions from verified subject matter experts
