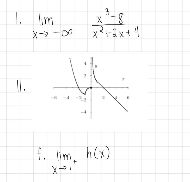
Question: detailed solution lim X x 2 + 2 x + 4 2 T. - -6 -4 -2-2 2 6 -4 f lim h ( x
detailed solution

lim X x 2 + 2 x + 4 2 T. - -6 -4 -2-2 2 6 -4 f lim h ( x )
Step by Step Solution
There are 3 Steps involved in it
1 Expert Approved Answer
Step: 1 Unlock
Question Has Been Solved by an Expert!
Get step-by-step solutions from verified subject matter experts
Step: 2 Unlock
Step: 3 Unlock
