Question: Need help with Part C. How to compute the late start, the late completion, and the slack time for each activity of dependency matrix? Graph
Need help with Part C. How to compute the late start, the late completion, and the slack time for each activity of dependency matrix?

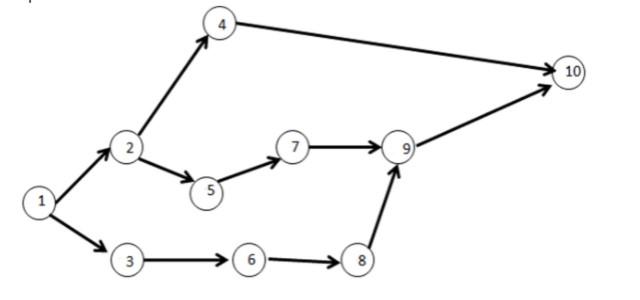
Graph visually depicting evolution of project:

Critical path is 1 - 3 - 6 - 8 - 9 - 10
Part C:

Consider the dependency matrix and the activity durations provided below. Upstream Activity 3 4 5 6 7 1 2 8 9 10 X x 1 2 3 Downstream 4 Activity 5 6 7 8 9 10 X X X 00 Activity Time 1 15 2 14 3 18 4 15 5 1 6 22 7 14 8 17 9 16 10 2 10 7 1 3 6 8 c. For each activity, compute the late start, the late completion, and the slack time. Latest Completion Time Latest Start Time Slack time 1 2 3 4 5 6 7 8 9 10
Step by Step Solution
There are 3 Steps involved in it
Get step-by-step solutions from verified subject matter experts
